自工业革命以来,人类活动导致温室气体大量排放,加剧了全球气候变暖。森林生态系统作为全球最大的陆地碳库,储存了约45%的陆地碳,在调节气候、减缓大气CO2浓度上升等方面发挥着重要作用。目前,森林土壤碳库的稳定性正面临严峻挑战:气候变化与人为干扰(如森林疏伐、凋落物收获)共同改变了凋落物的输入数量与质量。作为土壤有机质的核心来源,凋落物分解过程高度依赖于微生物分泌的胞外酶。这些酶如同高效的“分子剪刀”,将结构复杂的植物残体分解为微生物可利用的小分子养分。然而,凋落物输入变化如何影响土壤碳降解酶的活性,以及不同林型(针叶林vs阔叶林)的调控机制有何差异,制约着我们对未来气候变化背景下森林土壤碳动态的精准预测。
程晓莉团队通过在玉龙雪山亚高山区针叶林和阔叶林建立凋落物输入调控实验平台(Detritus Input and Removal Treatment, DIRT),并结合全球尺度的整合分析,系统揭示了凋落物输入变化对土壤碳循环的影响机制。相关成果以系列论文形式发表在Ecology Letters、Functional Ecology、Soil Biology and Biochemistry和Forest Ecology and Management杂志上。
一、凋落物移除对土壤酶活性的影响远超添加
研究团队在云南玉龙雪山建立了针叶林和阔叶林的凋落物调控实验平台,设置了对照(CK)、双倍凋落物(DL)、无凋落物(NL)、无根系(NR)、无根系+双倍凋落物(NRDL)和无根系+无凋落物(NRNL)六种处理。

图1:凋落物输入调控实验设计示意图
经过1-2年的短期实验,研究发现了一个普遍规律:凋落物添加对土壤酶活性的影响微乎其微,而凋落物移除则显著改变了酶活性格局。这一现象可能与实验时长有关:新鲜凋落物需要较长时间才能分解并释放出可供微生物利用的营养物质。更重要的是,根系移除(NR)对酶活性的抑制效应强于地上凋落物移除(NL)。在针叶林中,NR处理使β-葡萄糖苷酶活性降低了37.6%,而NL处理仅降低27.6%;在阔叶林中,这一数据分别为36.9%和17.3%。这表明根系对土壤碳循环的贡献可能大于地上凋落物。
二、针叶林与阔叶林呈现相反的酶调控策略
当进一步区分碳降解酶的类型时,研究团队发现了新的规律:凋落物移除在两种森林中引发了不同的胞外酶响应。在针叶林土壤中,凋落物移除显著抑制了水解酶活性(负责分解易利用碳),但对氧化酶活性(负责分解顽固碳)影响甚微;而在阔叶林土壤中,凋落物移除显著增强了氧化酶活性,但对水解酶活性影响不大。最终结果导致两种森林的氧化酶/水解酶比值在凋落物移除后都显著升高。

图2:两种森林土壤氧化酶/水解酶比值对凋落物输入的响应
这一看似矛盾的现象背后,隐藏着微生物对土壤初始性质的适应策略。针叶林土壤具有更高的有机碳含量和更低的C:N比,微生物更容易获取碳源,因此在碳输入减少时主要减少水解酶的投入;阔叶林土壤碳含量较低、质量较差(C:N比高),微生物为了获取有限的碳资源,不得不加大对顽固碳的“开采力度”,从而提高氧化酶的分泌。进一步的分析表明,针叶林中酶活性的变化主要受土壤氮、磷含量和微生物群落结构调控;而阔叶林中酶活性变化则主要受微气候(土壤温湿度)和土壤性质(pH、可溶性有机碳)调控。
三、根系移除解除微生物碳限制但加剧磷限制
胞外酶活性的变化最终会反映在微生物的代谢状态上。通过计算酶化学计量矢量(矢量长度代表相对碳限制,矢量角度代表相对磷vs相对氮限制),研究团队发现:根系移除显著缓解了表层土壤微生物的相对碳限制(矢量长度降低),但加剧了相对磷限制(矢量角度增大)。这可能是因为根系受损后,植物会将更多光合产物分配到地上部分生长,通过增强光合效率来补偿根系碳损失,从而增加了地上凋落物的碳输入。但与此同时,凋落物移除降低了土壤的持水能力,加速了有效磷的淋失,导致磷限制加剧。
有趣的是,针叶林土壤表现出更高的相对碳限制和更低的相对磷限制,而阔叶林正好相反。针叶林微生物碳限制更强,可能是因为其凋落物质量较差(C:N比高),微生物需要投入更多能量才能获取碳;而阔叶林凋落物质量较高,但土壤有效磷含量低,导致微生物更受磷限制。

图3:两种森林调控土壤微生物代谢限制的概念图
结构方程模型进一步揭示:针叶林中微生物代谢限制主要受微生物属性(如微生物生物量磷)调控;而阔叶林中主要受土壤性质(如可溶性有机碳)调控。这反映了两种森林截然不同的适应策略:针叶林微生物通过调整自身群落组成来应对环境变化,而阔叶林微生物更依赖于土壤理化性质的缓冲作用。
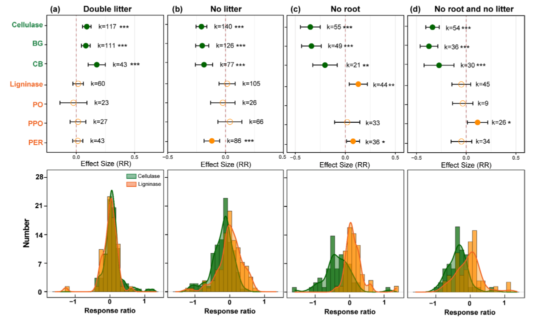
四、全球整合分析揭示纤维素酶的主导地位
上述野外实验揭示了短期、局部的规律。这些规律是否具有普适性?研究团队进一步整合了全球的凋落物调控实验数据,进行了系统的meta分析。结果显示:在所有处理中,纤维素酶活性都是驱动土壤有机碳变化的最主要因素,相对贡献率达30.5%。凋落物添加使纤维素酶活性平均提高9.1%,但对土壤有机碳含量无显著影响;而凋落物移除(NL、NR、NRNL)分别使土壤有机碳降低13.2%、26.5%和20.4%,纤维素酶活性相应降低20.8%-34.9%。

图4:全球凋落物调控实验的meta分析结果
与野外实验结果一致,根系移除对纤维素酶的抑制效应最强,且显著增强了木质素酶活性。这表明在严重碳限制下,微生物会从“获取易利用碳”的策略转向“开采顽固碳”的策略:通过增强木质素酶活性,分解原本稳定的土壤有机质以获取碳源,这可能导致土壤碳库的加速损失。

图5:全球森林凋落物调控下土壤碳动态的概念框架
上述研究成果得到了国家自然科学基金项目(32130069)、国家重点研发计划项目(2024YFF1306700)、中国科学院战略性先导科技专项(XDA26010102)、云南省重点研发计划项目(202303AC100009)、云南省基础研究重大项目(202101BC070002)、云南省社会发展专项(202103AC100001)、云南省创新引导与科技企业培养计划(202304BT090019)等项目的资助。由衷感谢在相关研究开展过程中,来自野外采样、室内实验、数据分析处理和结果交流研讨等方面各位专家同仁的鼎力支持与无私帮助!
相关科研论文详细信息如下:
Men, X., Zhai, D., Huang, B., Long, C., Wu, M., Bao, Y., Liao, C., Yan, Z., Duan, X*. & Cheng, X*. 2026. Cellulase dominates soil organic carbon dynamics under plant detritus input in forest ecosystems.Ecology Letters, 29: e70347.
Men, X., Bao, Y., Zhai, D., Huang, B., Quan, X., He, X., Yang, H. & Cheng, X*. 2025. Soil microbial metabolic limitations under subalpine coniferous and broad-leaved forests responding to litter input and removal treatments.Functional Ecology, 39: 2803-2816.
Men, X., Bao, Y., Zhai, D., Liao, C., Wang, Y., Wang, C. & Cheng, X*. 2024. Different regulatory mechanisms on carbon-degrading enzyme activities under short-term litter input manipulations in subalpine coniferous and broad-leaved forest soils.Soil Biology and Biochemistry, 196: 109512.
Men, X., Bao, Y., Wu, M., Liao, C. & Cheng, X*. 2023. Soil enzyme activities responded differently to short-term litter input manipulation under coniferous and broad-leaved forests in the subalpine area of Southwest China.Forest Ecology and Management, 546: 121360.